Chemical Engineering
Fluid Mechanics - Hydrostatic Forces on surface
Experiments
Aim
Theory
Pretest
Procedure
Simulation
Posttest
References
Contributors
Feedback
Aim
Theory
Pretest
Procedure
Simulation
Posttest
References
Contributors
Feedback
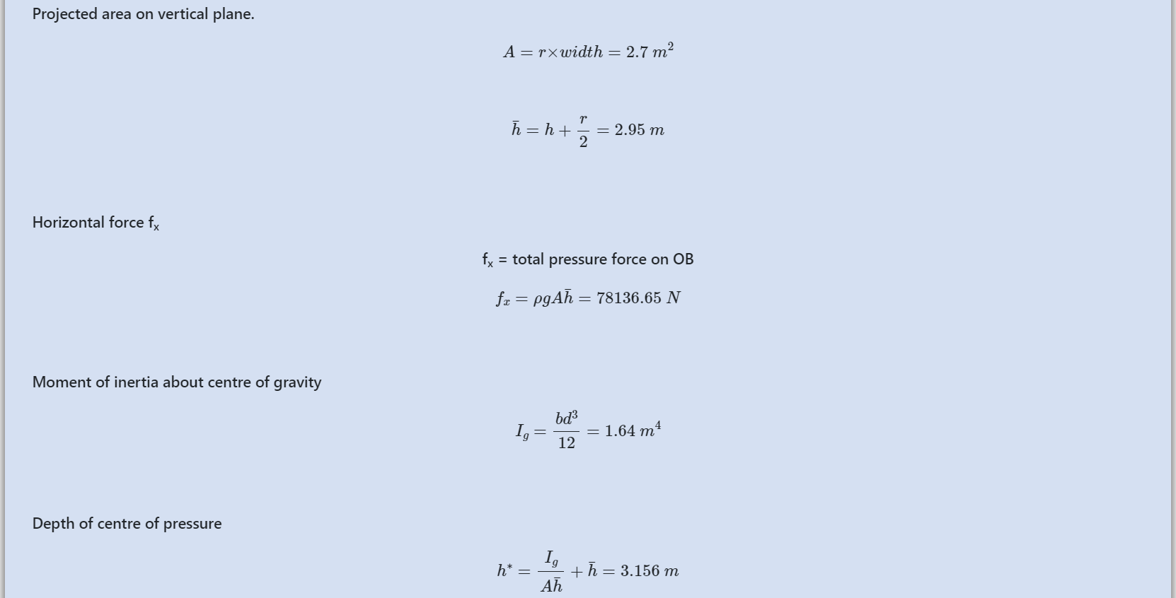
Hydrostatic force on curved surface (circular)